Civil Thinking

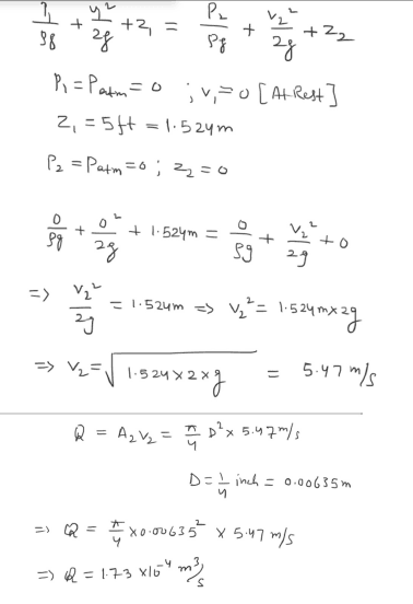
Solution:

Get Problem Solutions

Leave a Reply

Your email address will not be published. Required fields are marked *