❮
❯
i will solve Surveying / Geomatics problems
I will solve Surveying and Geomatics problems with accurate steps and clear explanations
I provide clear, accurate, and well-explained solutions for all Surveying and Geomatics numerical problems, including leveling (HI and Rise–Fall), traverse computation and adjustments, bearings and azimuths, latitudes and departures, coordinate geometry, contouring, tachometry, triangulation, Earthwork calculations, circular and transition curves, GPS/Total Station numericals, error analysis, and custom problem solving. Every solution is delivered with neat steps, formulas, substitutions, tables, diagrams (when needed), and fully checked final answers. Whether you need help with assignments, university problems, or professional-level calculations, I ensure fast delivery, clean presentation, and high accuracy. Just share your questions, and I will provide reliable, high-quality Surveying/Geomatics solutions you can trust.
Tags
What you will get
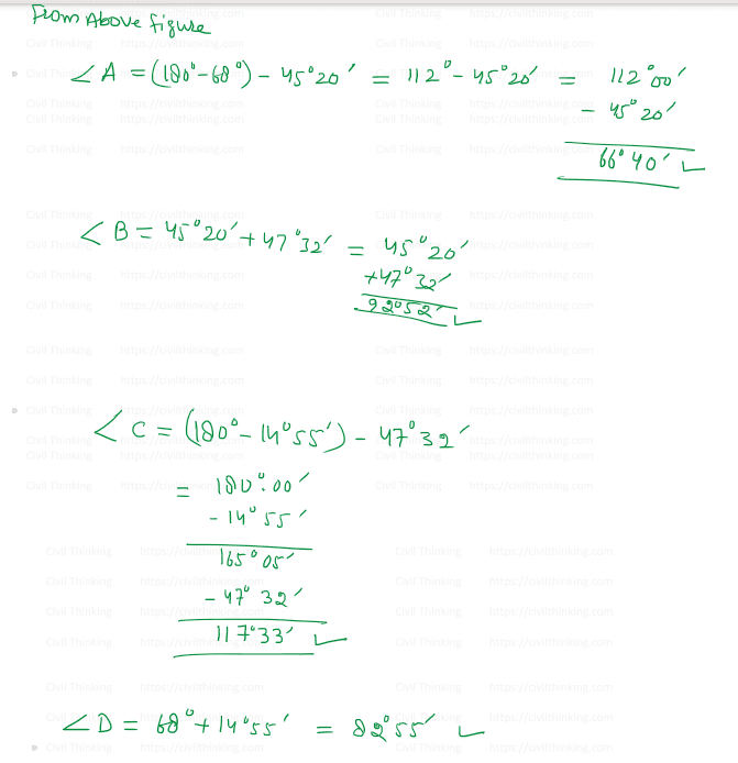
- Fast and accurate problem solutions
- Step-by-step explanation
- Neat handwritten or typed answers
- Leveling (HI & Rise–Fall methods)
- Traverse computation & adjustments
- Bearings, azimuths, and included angles
- Contouring and area/volume calculations
- Tachometry and stadia method
- Triangulation and baseline corrections
- Total station & GPS-related numerical problems
- Plane table surveying
- Errors, corrections, and adjustments
- Coordinates: latitudes, departures, closing error
- Circular curves, transition curves
- Earthwork calculations
- Custom surveying/geomatics problems on request
FAQs
Do you solve university-level Surveying and Geomatics problems?
A: Yes, I solve diploma, undergraduate, and postgraduate-level surveying/geomatics problems with full accuracy.
Do you include step-by-step calculations?
A: Yes, every solution includes formulas, substitutions, and neatly explained steps with final answers.
Do you solve leveling problems (RI/HI, Rise & Fall)?
A: Yes, I solve all types of leveling problems with complete tables and checks.
Can you solve traverse computation and adjustment problems?
A: Yes, I solve closed and open traverse problems, including latitude–departure, bearing conversion, and corrections.
Do you provide solutions with diagrams?
A: Yes, required sketches such as curves, traverse shapes, and contour diagrams are included.
Can you handle large assignments or multiple questions?
A: Yes, I can solve complete assignments, worksheets, and large numerical problem sets.
Do you solve curve setting-out problems?
A: Yes, I solve circular curves, transition curves, and related geometric design tasks.
Are your calculations accurate and checked?
A: Absolutely. All answers are double-checked before delivery.
What format will I receive the solutions in?
A: Solutions can be delivered in PDF, Word, or clean images based on your preference.
Do you solve custom or unique surveying/geomatics questions?
A: Yes, I can solve custom, field-based, or non-standard problems as well.









